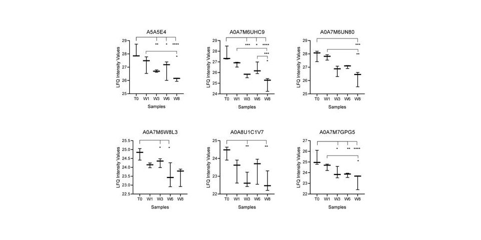
The application of treatments to reduce/control the number of Varroa destructor mites within Apis mellifera colonies is a common apicultural practice. The effectiveness of the treatments in reducing Varroa mites from colonies has been extensively studied, however, the effects of these treatments on the bees within the colonies are poorly characterised. This work utilised label-free quantitative proteomic analysis to investigate how the presence of the anti-Varroa treatment amitraz, affected worker bees. Samples of A. mellifera were isolated from colonies one week before amitraz treatment (T0) and 1, 3, 6 and 8 weeks post-treatment application. The trial was conducted during the transition period from short-lived summer workers to long-lived winter workers. The results highlight two large proteomic shifts; a decrease in the abundance of cuticular proteins and an increase in ribosomal protein abundance in Weeks 3, 6, and 8. The changes in the protein abundance in Week 8 may not be a response to amitraz exposure alone but may also be attributed to a potential change in the population of short-lived to long-lived winter bees. The work provides insight into the effect of amitraz on the honey bee proteome during the transition period from summer to winter colony and how it may contribute to inducing a stress response in individual bees.
Characterisation of proteomic alterations in worker bees in response to amitraz treatment during summer to winter transition in Apis mellifera colonies
You are here:






